Overview

[1] [2] [3]

Back        Forward

Overview

[1] [2] [3]

Back        Forward

Overview

[1] [2] [3]

Back        Forward

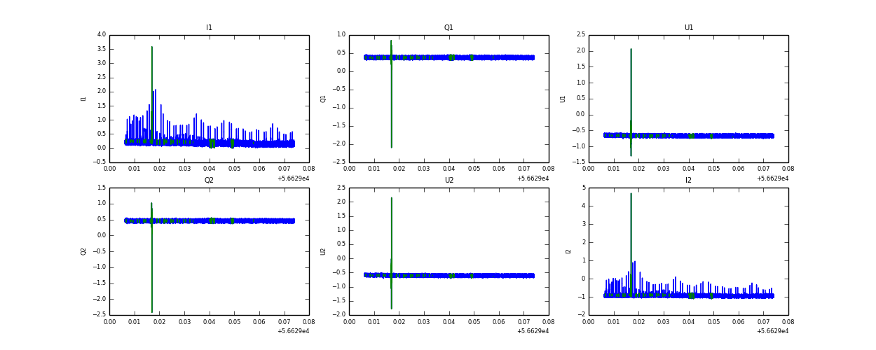
Raw fits file and map fits file

03-Dec-2013:00:06:14_reload.fits

03-Dec-2013:00:06:14_reload_map.fits


Raw channel data