Overview

[1] [2] [3]

Back        Forward

Overview

[1] [2] [3]

Back        Forward

Overview

[1] [2] [3]

Back        Forward

Raw fits file and map fits file

08-Dec-2013:20:15:09_reload.fits

08-Dec-2013:20:15:09_reload_map.fits


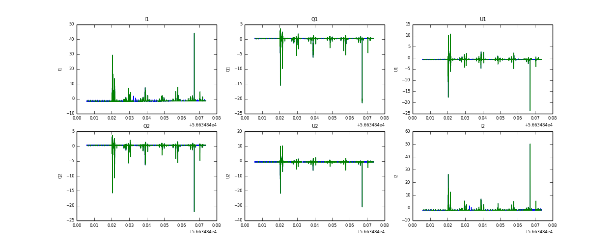
Raw channel data