Overview

[1] [2] [3]

Back        Forward

Overview

[1] [2] [3]

Back        Forward

Overview

[1] [2] [3]

Back        Forward

Raw fits file and map fits file

12-Dec-2013:13:44:49_reload.fits

12-Dec-2013:13:44:49_reload_map.fits


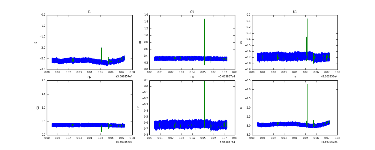
Raw channel data