Overview

[1] [2] [3]

Back        Forward

Overview

[1] [2] [3]

Back        Forward

Overview

[1] [2] [3]

Back        Forward

Raw fits file and map fits file

15-Dec-2013:22:20:02_reload.fits

15-Dec-2013:22:20:02_reload_map.fits


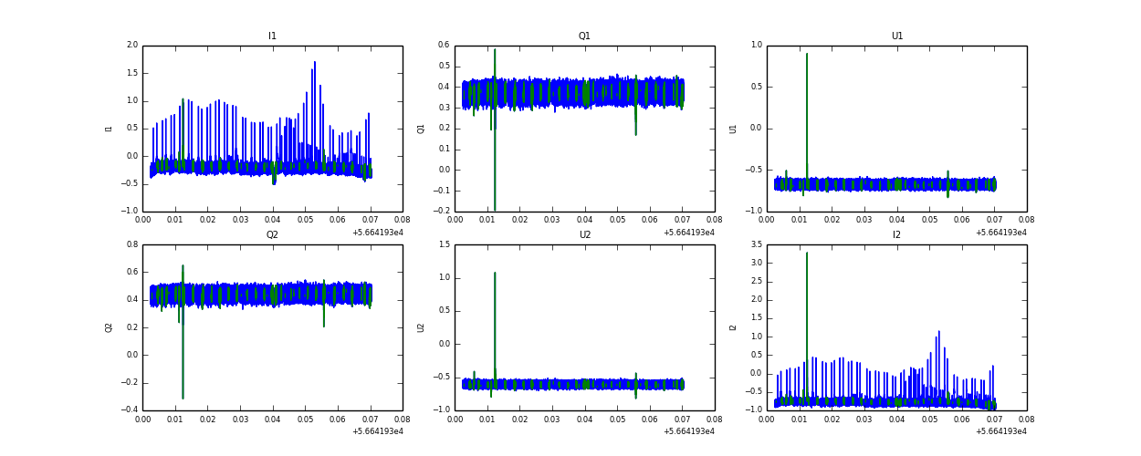
Raw channel data