Overview

[1] [2] [3]

Back        Forward

Overview

[1] [2] [3]

Back        Forward

Overview

[1] [2] [3]

Back        Forward

Raw fits file and map fits file

17-Dec-2013:20:51:24_reload.fits

17-Dec-2013:20:51:24_reload_map.fits


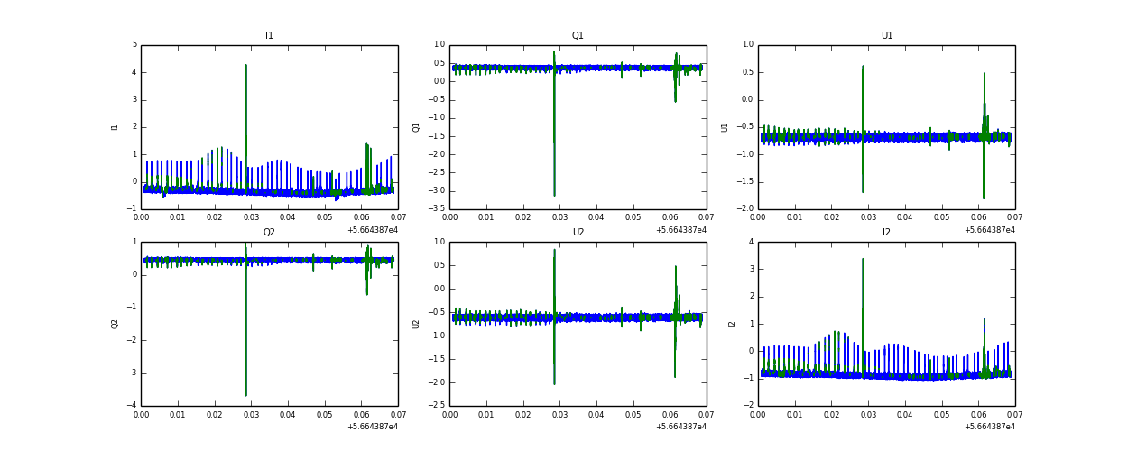
Raw channel data