Overview

[1] [2] [3]

Back        Forward

Overview

[1] [2] [3]

Back        Forward

Overview

[1] [2] [3]

Back        Forward

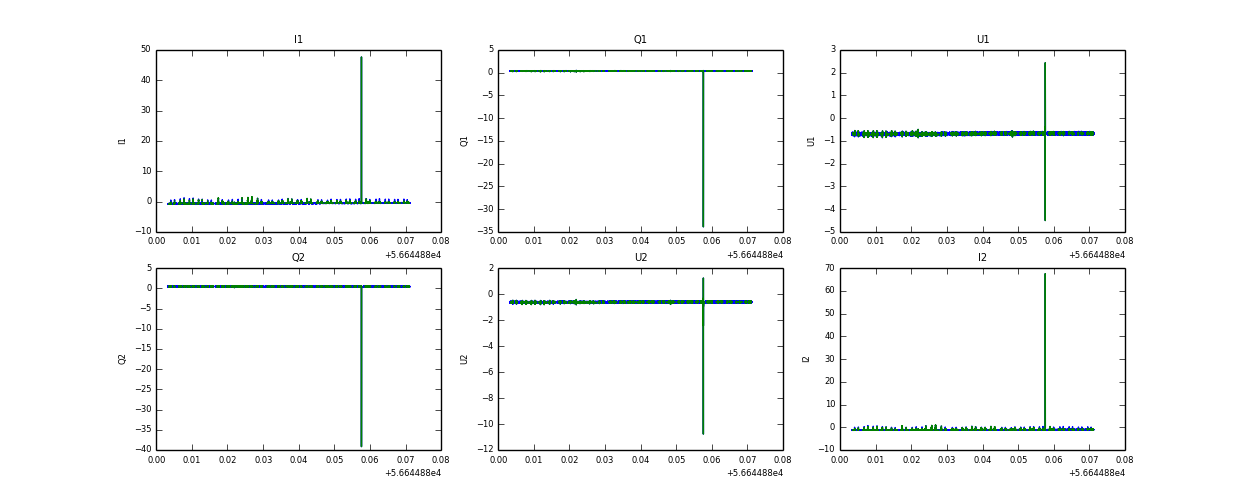
Raw fits file and map fits file

18-Dec-2013:21:09:15_reload.fits

18-Dec-2013:21:09:15_reload_map.fits


Raw channel data