Overview

[1] [2] [3]

Back        Forward

Overview

[1] [2] [3]

Back        Forward

Overview

[1] [2] [3]

Back        Forward

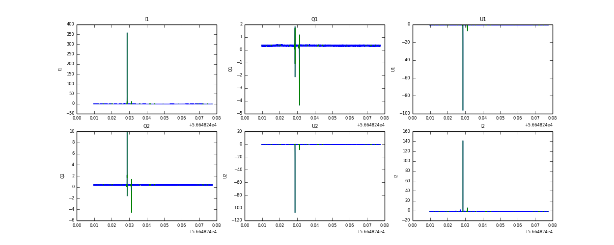
Raw fits file and map fits file

22-Dec-2013:05:56:49_reload.fits

22-Dec-2013:05:56:49_reload_map.fits


Raw channel data