Overview

[1] [2] [3]

Back        Forward

Overview

[1] [2] [3]

Back        Forward

Overview

[1] [2] [3]

Back        Forward

Raw fits file and map fits file

23-Dec-2013:15:22:56_reload.fits

23-Dec-2013:15:22:56_reload_map.fits


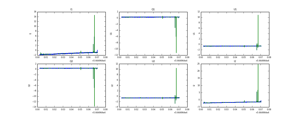
Raw channel data