Overview

[1] [2] [3]

Back        Forward

Overview

[1] [2] [3]

Back        Forward

Overview

[1] [2] [3]

Back        Forward

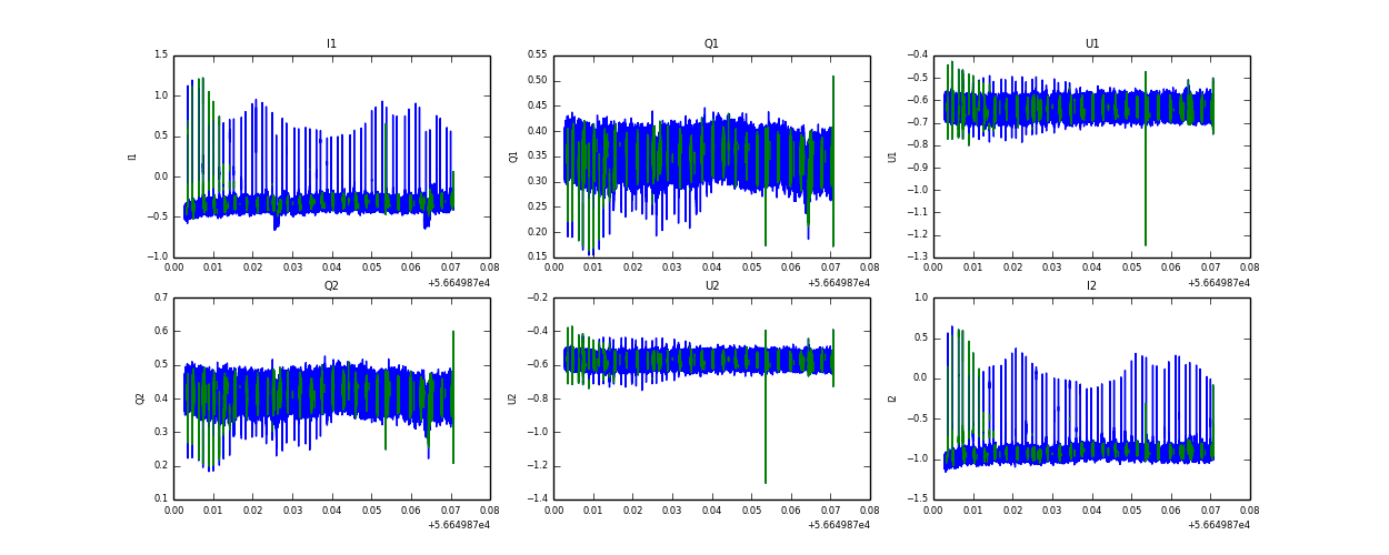
Raw fits file and map fits file

23-Dec-2013:20:54:08_reload.fits

23-Dec-2013:20:54:08_reload_map.fits


Raw channel data