Overview

[1] [2] [3]

Back        Forward

Overview

[1] [2] [3]

Back        Forward

Overview

[1] [2] [3]

Back        Forward

Raw fits file and map fits file

02-Jan-2014:21:51:07_reload.fits

02-Jan-2014:21:51:07_reload_map.fits


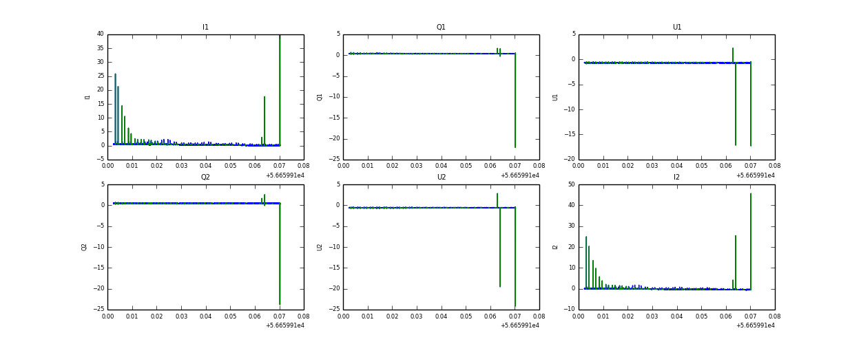
Raw channel data