Overview

[1] [2] [3]

Back        Forward

Overview

[1] [2] [3]

Back        Forward

Overview

[1] [2] [3]

Back        Forward

Raw fits file and map fits file

14-Jan-2014:09:55:22_reload.fits

14-Jan-2014:09:55:22_reload_map.fits


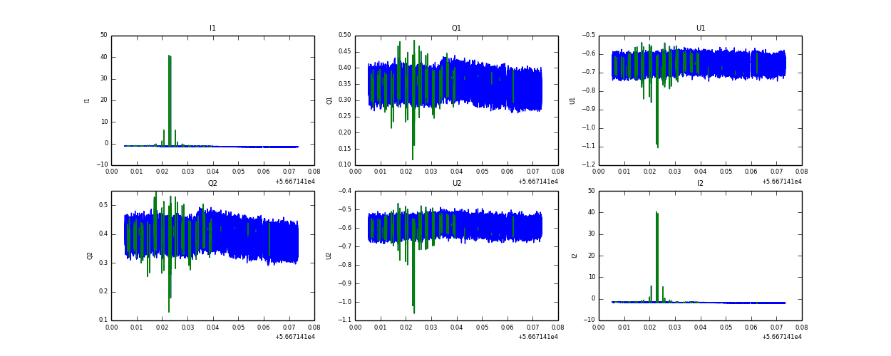
Raw channel data