Overview

[1] [2] [3]

Back        Forward

Overview

[1] [2] [3]

Back        Forward

Overview

[1] [2] [3]

Back        Forward

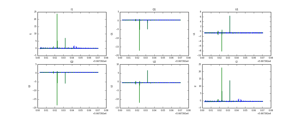
Raw fits file and map fits file

16-Jan-2014:22:05:49_reload.fits

16-Jan-2014:22:05:49_reload_map.fits


Raw channel data