Overview

[1] [2] [3]

Back        Forward

Overview

[1] [2] [3]

Back        Forward

Overview

[1] [2] [3]

Back        Forward

Raw fits file and map fits file

21-Jan-2014:18:46:45_reload.fits

21-Jan-2014:18:46:45_reload_map.fits


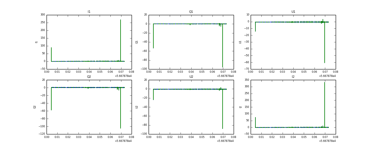
Raw channel data