Overview

[1] [2] [3]

Back        Forward

Overview

[1] [2] [3]

Back        Forward

Overview

[1] [2] [3]

Back        Forward

Raw fits file and map fits file

23-Jan-2014:15:39:38_reload.fits

23-Jan-2014:15:39:38_reload_map.fits


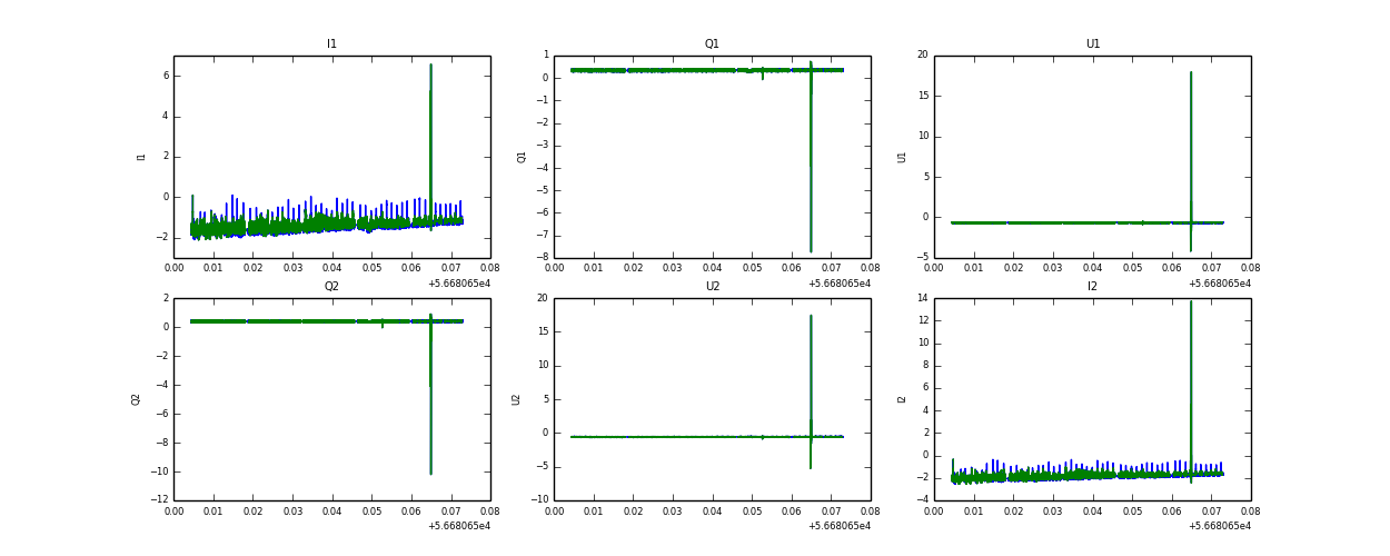
Raw channel data