Overview

[1] [2] [3]

Back        Forward

Overview

[1] [2] [3]

Back        Forward

Overview

[1] [2] [3]

Back        Forward

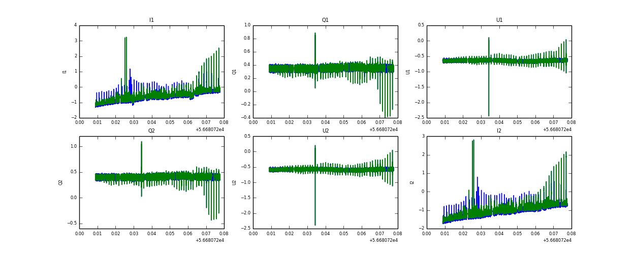
Raw fits file and map fits file

23-Jan-2014:17:26:51_reload.fits

23-Jan-2014:17:26:51_reload_map.fits


Raw channel data