Overview

[1] [2] [3]

Back        Forward

Overview

[1] [2] [3]

Back        Forward

Overview

[1] [2] [3]

Back        Forward

Raw fits file and map fits file

25-Jan-2014:20:26:54_reload.fits

25-Jan-2014:20:26:54_reload_map.fits


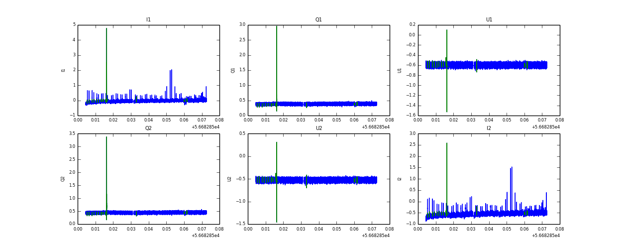
Raw channel data