Overview

[1] [2] [3]

Back        Forward

Overview

[1] [2] [3]

Back        Forward

Overview

[1] [2] [3]

Back        Forward

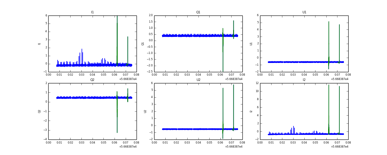
Raw fits file and map fits file

26-Jan-2014:21:00:44_reload.fits

26-Jan-2014:21:00:44_reload_map.fits


Raw channel data