Overview

[1] [2] [3]

Back        Forward

Overview

[1] [2] [3]

Back        Forward

Overview

[1] [2] [3]

Back        Forward

Raw fits file and map fits file

30-Jan-2014:21:30:44_reload.fits

30-Jan-2014:21:30:44_reload_map.fits


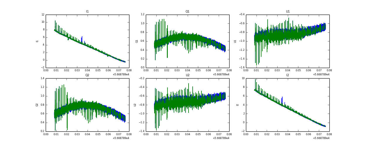
Raw channel data