Overview

[1] [2] [3]

Back        Forward

Overview

[1] [2] [3]

Back        Forward

Overview

[1] [2] [3]

Back        Forward

Raw fits file and map fits file

31-Jan-2014:19:42:40_reload.fits

31-Jan-2014:19:42:40_reload_map.fits


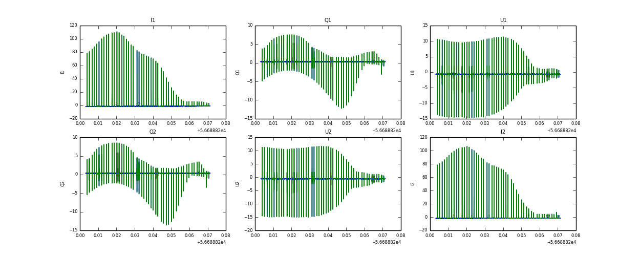
Raw channel data