Overview

[1] [2] [3]

Back        Forward

Overview

[1] [2] [3]

Back        Forward

Overview

[1] [2] [3]

Back        Forward

Raw fits file and map fits file

05-Feb-2014:04:09:23_reload.fits

05-Feb-2014:04:09:23_reload_map.fits


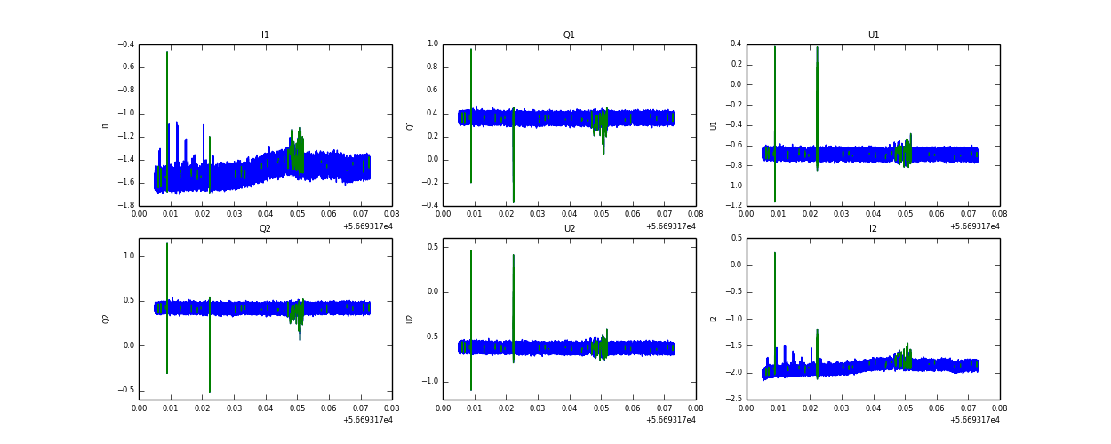
Raw channel data