Overview

[1] [2] [3]

Back        Forward

Overview

[1] [2] [3]

Back        Forward

Overview

[1] [2] [3]

Back        Forward

Raw fits file and map fits file

05-Feb-2014:21:31:12_reload.fits

05-Feb-2014:21:31:12_reload_map.fits


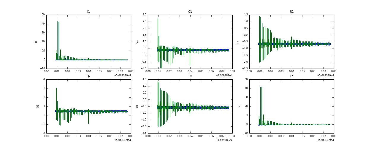
Raw channel data