Overview

[1] [2] [3]

Back        Forward

Overview

[1] [2] [3]

Back        Forward

Overview

[1] [2] [3]

Back        Forward

Raw fits file and map fits file

06-Feb-2014:18:51:31_reload.fits

06-Feb-2014:18:51:31_reload_map.fits


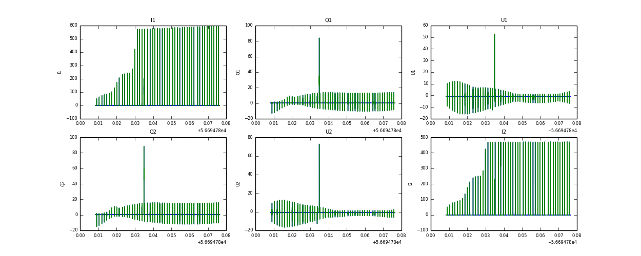
Raw channel data