Overview

[1] [2] [3]

Back        Forward

Overview

[1] [2] [3]

Back        Forward

Overview

[1] [2] [3]

Back        Forward

Raw fits file and map fits file

09-Feb-2014:02:05:51_reload.fits

09-Feb-2014:02:05:51_reload_map.fits


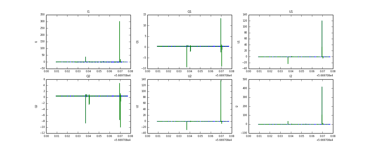
Raw channel data