Overview

[1] [2] [3]

Back        Forward

Overview

[1] [2] [3]

Back        Forward

Overview

[1] [2] [3]

Back        Forward

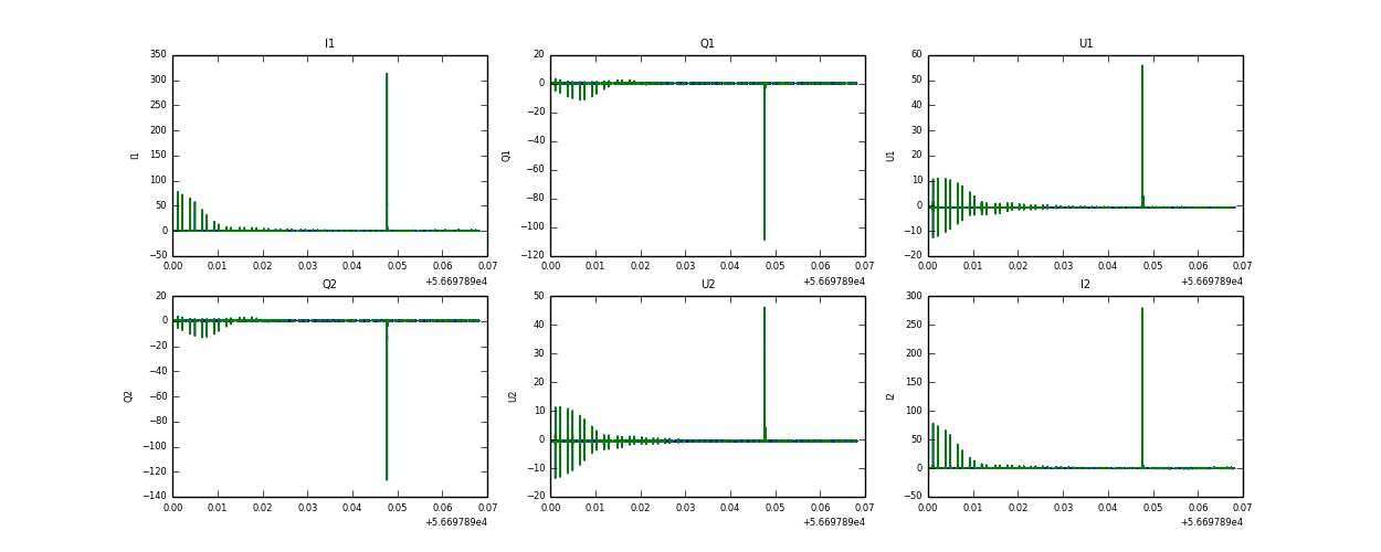
Raw fits file and map fits file

09-Feb-2014:21:19:16_reload.fits

09-Feb-2014:21:19:16_reload_map.fits


Raw channel data