Overview

[1] [2] [3]

Back        Forward

Overview

[1] [2] [3]

Back        Forward

Overview

[1] [2] [3]

Back        Forward

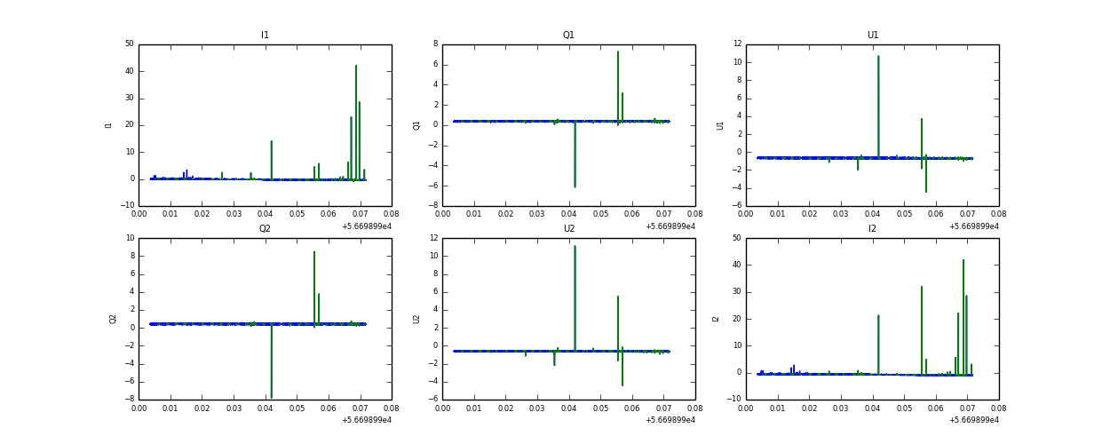
Raw fits file and map fits file

10-Feb-2014:23:48:14_reload.fits

10-Feb-2014:23:48:14_reload_map.fits


Raw channel data