Overview

[1] [2] [3]

Back        Forward

Overview

[1] [2] [3]

Back        Forward

Overview

[1] [2] [3]

Back        Forward

Raw fits file and map fits file

12-Feb-2014:00:47:29_reload.fits

12-Feb-2014:00:47:29_reload_map.fits


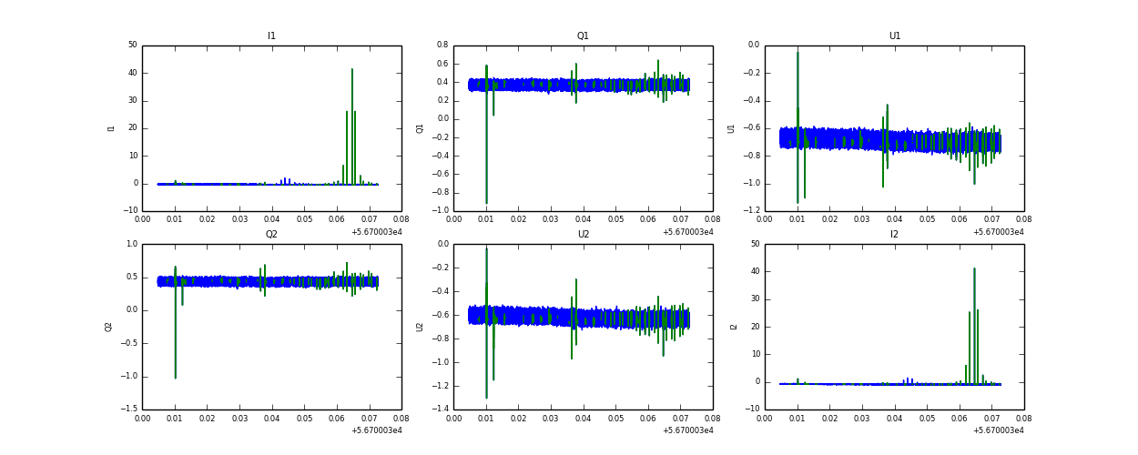
Raw channel data