Overview

[1] [2] [3]

Back        Forward

Overview

[1] [2] [3]

Back        Forward

Overview

[1] [2] [3]

Back        Forward

Raw fits file and map fits file

13-Feb-2014:16:32:42_reload.fits

13-Feb-2014:16:32:42_reload_map.fits


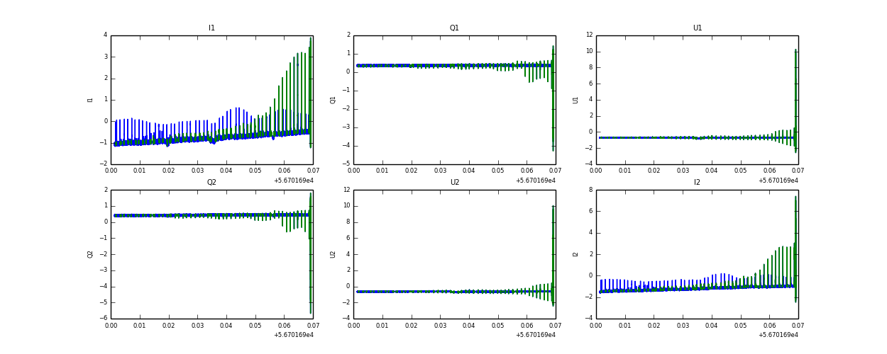
Raw channel data