Overview

[1] [2] [3]

Back        Forward

Overview

[1] [2] [3]

Back        Forward

Overview

[1] [2] [3]

Back        Forward

Raw fits file and map fits file

14-Feb-2014:04:08:00_reload.fits

14-Feb-2014:04:08:00_reload_map.fits


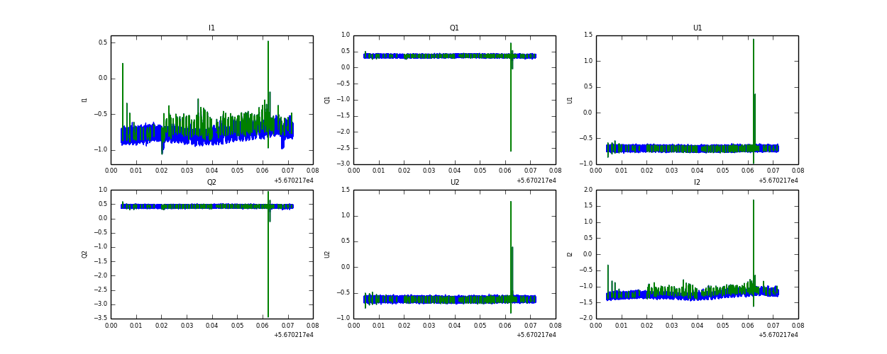
Raw channel data