Overview

[1] [2] [3]

Back        Forward

Overview

[1] [2] [3]

Back        Forward

Overview

[1] [2] [3]

Back        Forward

Raw fits file and map fits file

15-Feb-2014:15:16:45_reload.fits

15-Feb-2014:15:16:45_reload_map.fits


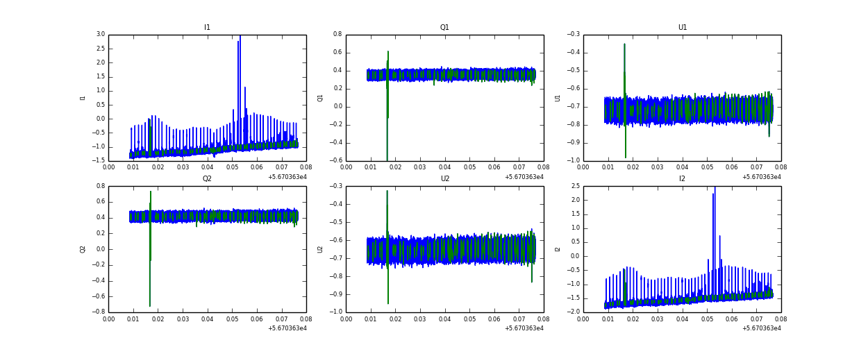
Raw channel data