Overview

[1] [2] [3]

Back        Forward

Overview

[1] [2] [3]

Back        Forward

Overview

[1] [2] [3]

Back        Forward

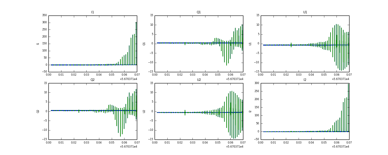
Raw fits file and map fits file

15-Feb-2014:17:02:36_reload.fits

15-Feb-2014:17:02:36_reload_map.fits


Raw channel data