Overview

[1] [2] [3]

Back        Forward

Overview

[1] [2] [3]

Back        Forward

Overview

[1] [2] [3]

Back        Forward

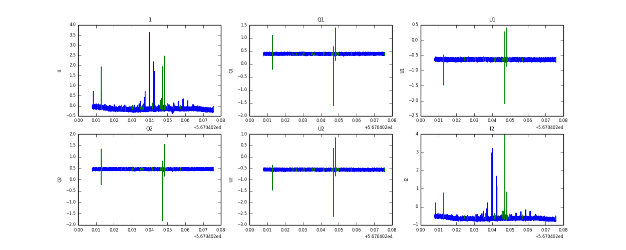
Raw fits file and map fits file

16-Feb-2014:00:37:32_reload.fits

16-Feb-2014:00:37:32_reload_map.fits


Raw channel data