Overview

[1] [2] [3]

Back        Forward

Overview

[1] [2] [3]

Back        Forward

Overview

[1] [2] [3]

Back        Forward

Raw fits file and map fits file

16-Feb-2014:19:31:02_reload.fits

16-Feb-2014:19:31:02_reload_map.fits


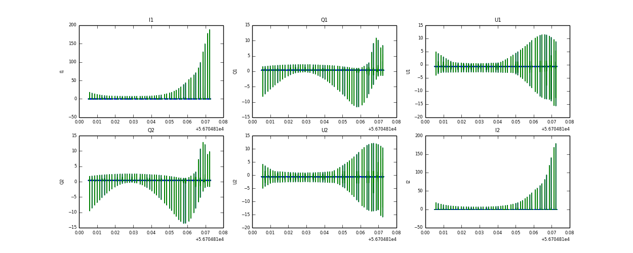
Raw channel data