Overview

[1] [2] [3]

Back        Forward

Overview

[1] [2] [3]

Back        Forward

Overview

[1] [2] [3]

Back        Forward

Raw fits file and map fits file

18-Feb-2014:16:38:59_reload.fits

18-Feb-2014:16:38:59_reload_map.fits


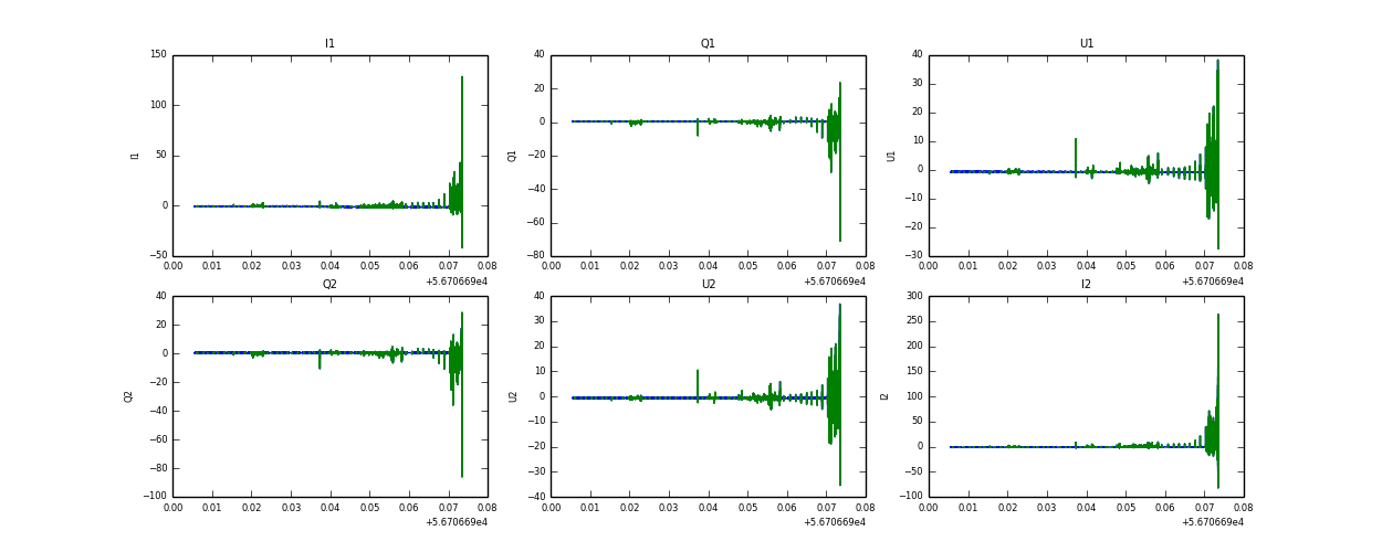
Raw channel data