Overview

[1] [2] [3]

Back        Forward

Overview

[1] [2] [3]

Back        Forward

Overview

[1] [2] [3]

Back        Forward

Raw fits file and map fits file

20-Feb-2014:02:25:06_reload.fits

20-Feb-2014:02:25:06_reload_map.fits


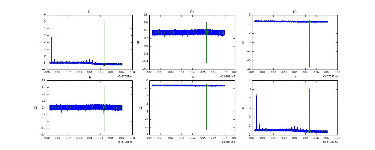
Raw channel data