Overview

[1] [2] [3]

Back        Forward

Overview

[1] [2] [3]

Back        Forward

Overview

[1] [2] [3]

Back        Forward

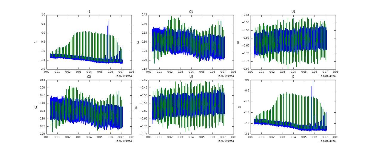
Raw fits file and map fits file

21-Feb-2014:11:47:52_reload.fits

21-Feb-2014:11:47:52_reload_map.fits


Raw channel data