Overview

[1] [2] [3]

Back        Forward

Overview

[1] [2] [3]

Back        Forward

Overview

[1] [2] [3]

Back        Forward

Raw fits file and map fits file

22-Feb-2014:19:16:45_reload.fits

22-Feb-2014:19:16:45_reload_map.fits


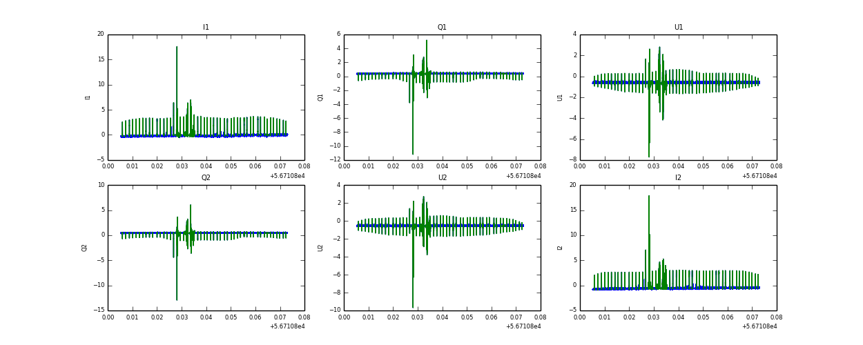
Raw channel data