Overview

[1] [2] [3]

Back        Forward

Overview

[1] [2] [3]

Back        Forward

Overview

[1] [2] [3]

Back        Forward

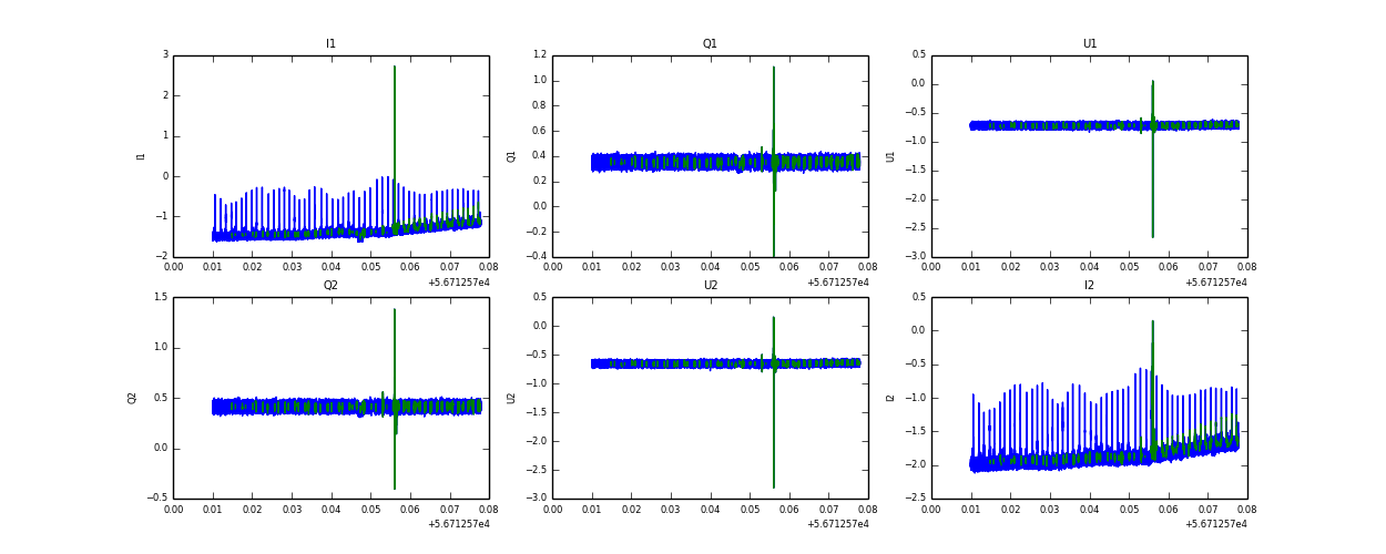
Raw fits file and map fits file

24-Feb-2014:13:52:26_reload.fits

24-Feb-2014:13:52:26_reload_map.fits


Raw channel data