Overview

[1] [2] [3]

Back        Forward

Overview

[1] [2] [3]

Back        Forward

Overview

[1] [2] [3]

Back        Forward

Raw fits file and map fits file

24-Feb-2014:17:45:00_reload.fits

24-Feb-2014:17:45:00_reload_map.fits


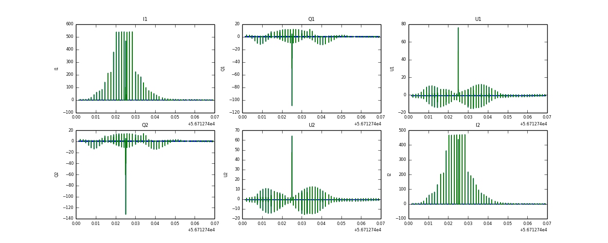
Raw channel data