Overview

[1] [2] [3]

Back        Forward

Overview

[1] [2] [3]

Back        Forward

Overview

[1] [2] [3]

Back        Forward

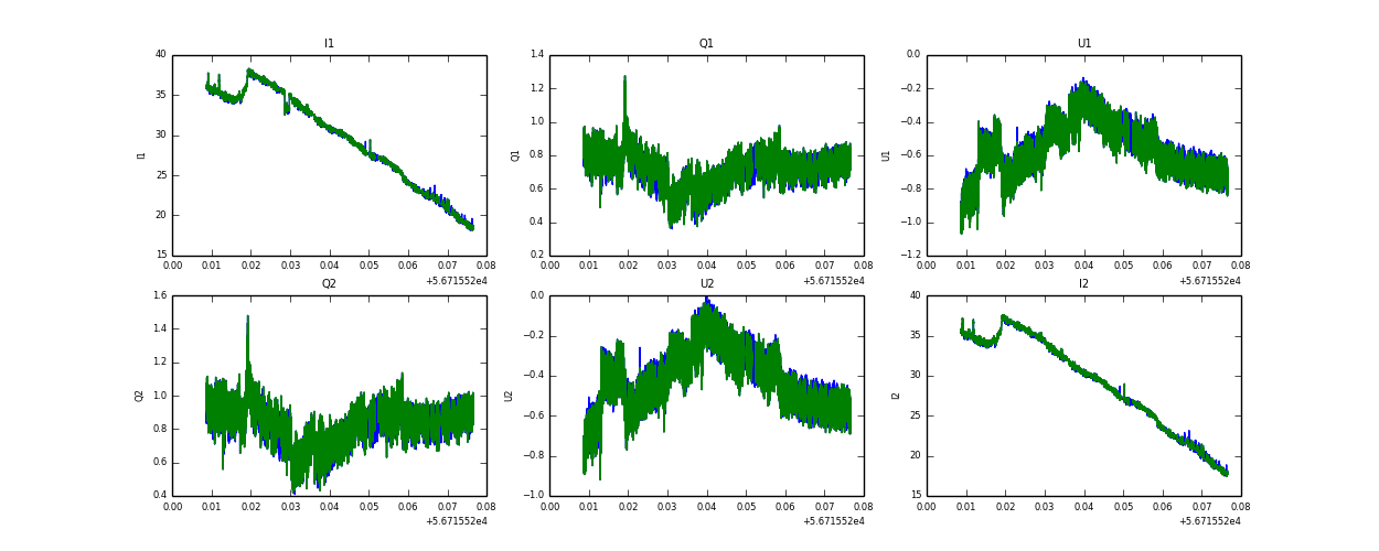
Raw fits file and map fits file

27-Feb-2014:12:38:34_reload.fits

27-Feb-2014:12:38:34_reload_map.fits


Raw channel data