Overview

[1] [2] [3]

Back        Forward

Overview

[1] [2] [3]

Back        Forward

Overview

[1] [2] [3]

Back        Forward

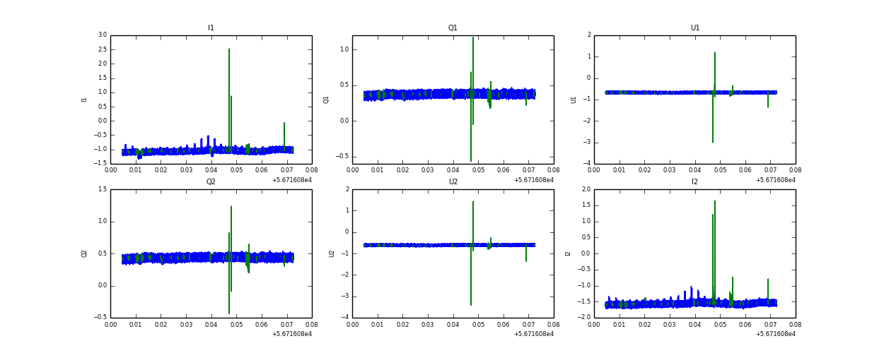
Raw fits file and map fits file

28-Feb-2014:01:59:07_reload.fits

28-Feb-2014:01:59:07_reload_map.fits


Raw channel data