Overview

[1] [2] [3]

Back        Forward

Overview

[1] [2] [3]

Back        Forward

Overview

[1] [2] [3]

Back        Forward

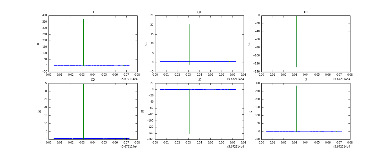
Raw fits file and map fits file

05-Mar-2014:03:25:52_reload.fits

05-Mar-2014:03:25:52_reload_map.fits


Raw channel data