Overview

[1] [2] [3]

Back        Forward

Overview

[1] [2] [3]

Back        Forward

Overview

[1] [2] [3]

Back        Forward

Raw fits file and map fits file

09-Mar-2014:22:26:37_reload.fits

09-Mar-2014:22:26:37_reload_map.fits


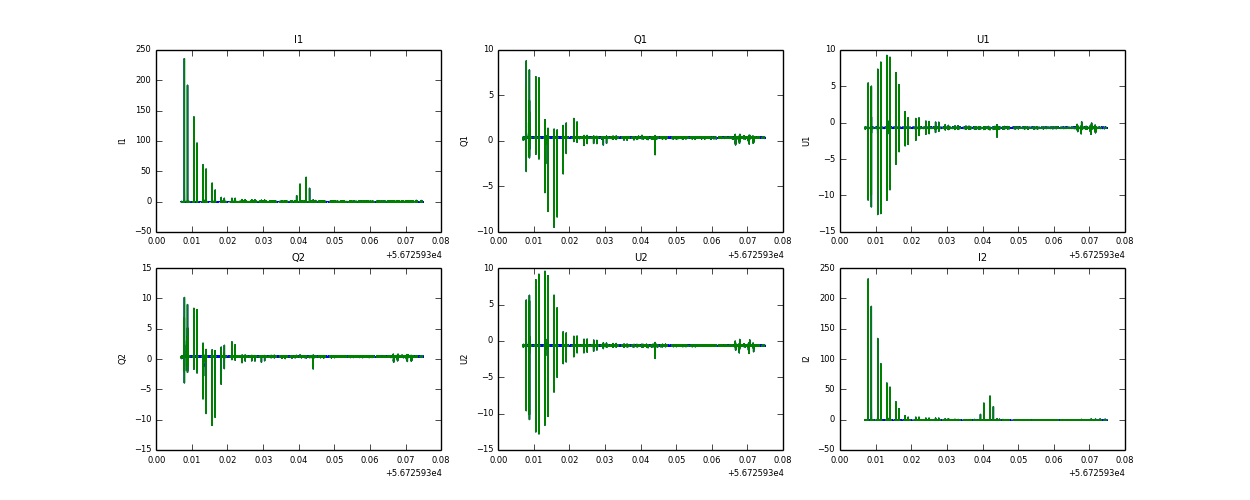
Raw channel data