Overview

[1] [2] [3]

Back        Forward

Overview

[1] [2] [3]

Back        Forward

Overview

[1] [2] [3]

Back        Forward

Raw fits file and map fits file

12-Mar-2014:16:13:48_reload.fits

12-Mar-2014:16:13:48_reload_map.fits


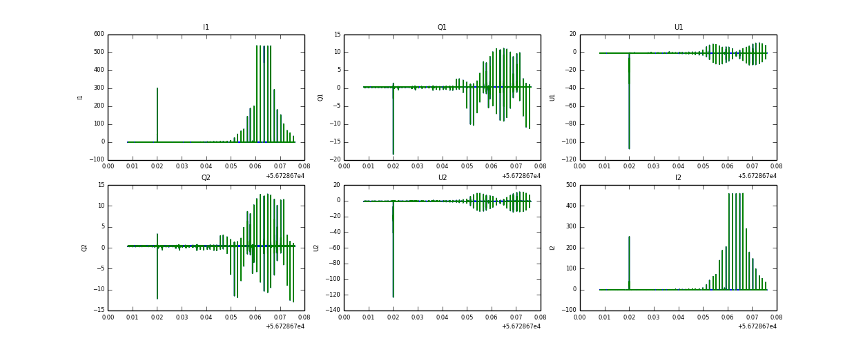
Raw channel data