Overview

[1] [2] [3]

Back        Forward

Overview

[1] [2] [3]

Back        Forward

Overview

[1] [2] [3]

Back        Forward

Raw fits file and map fits file

12-Mar-2014:17:59:55_reload.fits

12-Mar-2014:17:59:55_reload_map.fits


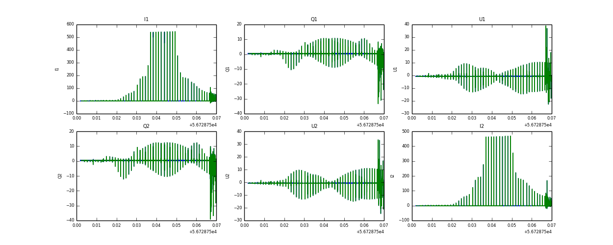
Raw channel data