Overview

[1] [2] [3]

Back        Forward

Overview

[1] [2] [3]

Back        Forward

Overview

[1] [2] [3]

Back        Forward

Raw fits file and map fits file

16-Mar-2014:03:59:37_reload.fits

16-Mar-2014:03:59:37_reload_map.fits


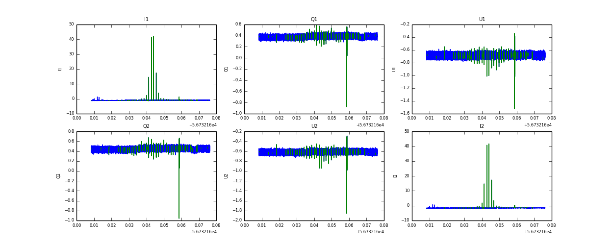
Raw channel data