Overview

[1] [2] [3]

Back        Forward

Overview

[1] [2] [3]

Back        Forward

Overview

[1] [2] [3]

Back        Forward

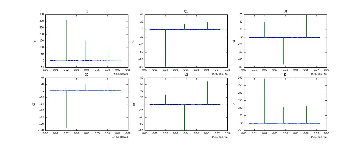
Raw fits file and map fits file

18-Mar-2014:01:45:17_reload.fits

18-Mar-2014:01:45:17_reload_map.fits


Raw channel data