Overview

[1] [2] [3]

Back        Forward

Overview

[1] [2] [3]

Back        Forward

Overview

[1] [2] [3]

Back        Forward

Raw fits file and map fits file

18-Mar-2014:12:39:33_reload.fits

18-Mar-2014:12:39:33_reload_map.fits


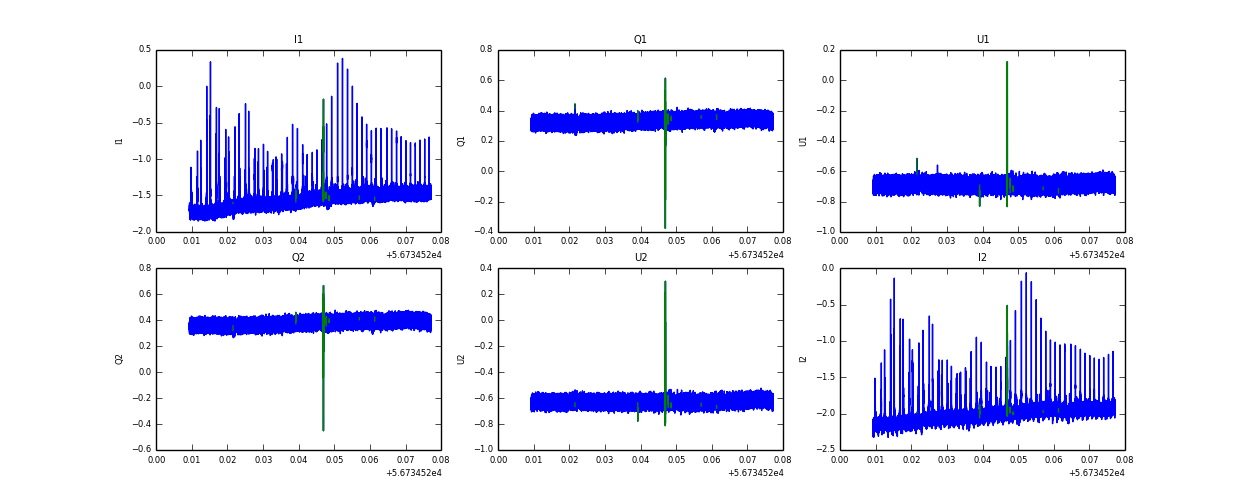
Raw channel data