Overview

[1] [2] [3]

Back        Forward

Overview

[1] [2] [3]

Back        Forward

Overview

[1] [2] [3]

Back        Forward

Raw fits file and map fits file

19-Mar-2014:14:35:45_reload.fits

19-Mar-2014:14:35:45_reload_map.fits


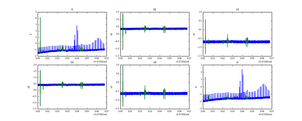
Raw channel data