Overview

[1] [2] [3]

Back        Forward

Overview

[1] [2] [3]

Back        Forward

Overview

[1] [2] [3]

Back        Forward

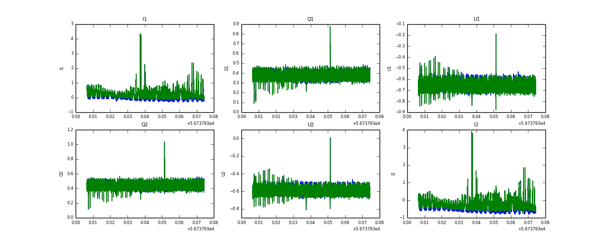
Raw fits file and map fits file

21-Mar-2014:22:25:48_reload.fits

21-Mar-2014:22:25:48_reload_map.fits


Raw channel data