Overview

[1] [2] [3]

Back        Forward

Overview

[1] [2] [3]

Back        Forward

Overview

[1] [2] [3]

Back        Forward

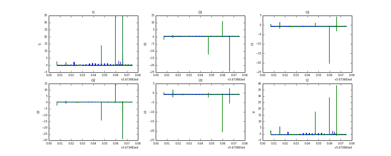
Raw fits file and map fits file

23-Mar-2014:20:02:48_reload.fits

23-Mar-2014:20:02:48_reload_map.fits


Raw channel data